A geometric sequence is a sequence such that any element after the first is obtained by multiplying the preceding element by a constant called the common ratio which is denoted by r. The common ratio (r) is obtained by dividing any term by the preceding term, i.e.,
| where | r | common ratio |
| a1 | first term | |
| a2 | second term | |
| a3 | third term | |
| an-1 | the term before the n th term | |
| an | the n th term |
The geometric sequence is sometimes called the geometric progression or GP, for short.
For example, the sequence 1, 3, 9, 27, 81 is a geometric sequence. Note that after the first term, the next term is obtained by multiplying the preceding element by 3.
The geometric sequence has its sequence formation:
Sum of Terms in a Geometric Progression
Examples
Question
Write down the 8th term in the Geometric Progression 1, 3, 9, ...
Answer
Finding the number of terms in a Geometric Progression
Question
Find the number of terms in the geometric progression 6, 12, 24, ..., 1536
Answer
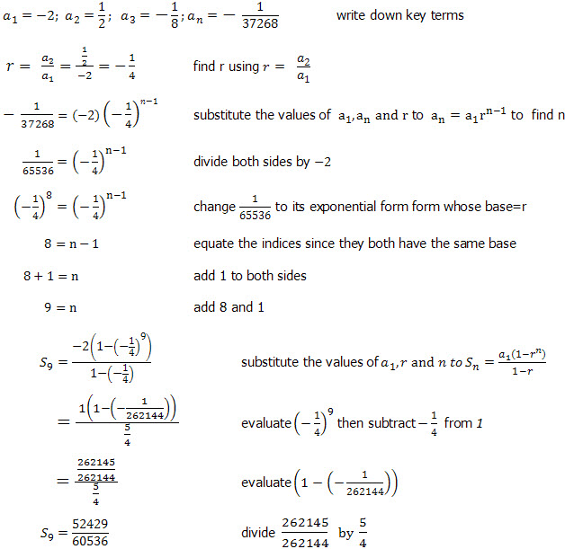
Example 3
Finding the sum of Geometric Series
Answer
If you have the sequence 2, 8, 14, 20, 26, then each term is 6 more than the previous term. This is an example of an arithmetic progression (AP) and the constant value that defines the difference between any two consecutive terms is called the common difference.
If an arithmetic difference has a first term a and a common difference of d, then we can write
a, (a + d), (a + 2d),... {a + (n-1) d}
where the nth term = a + (n−1)d
Sum of Arithmetic series
The sum of an arithmetic series of n terms is found by making n/2 pairs each with the value of the sum of the first and last term. (Try this with the sum of the first 10 integers, by making 5 pairs of 11.)
This gives us the formula:
where a = first term and l = last term.
As the last term is the nth term = a + (n − 1)d we can rewrite this as:
(Use the first formula if you know the first and last terms; use the second if you know the first term and the common difference.)
Problem 1:
The first term of an arithmetic sequence is equal to 6 and the common difference is equal to 3. Find a formula for the n th term and the value of the 50 th term
The first term of an arithmetic sequence is equal to 6 and the common difference is equal to 3. Find a formula for the n th term and the value of the 50 th term
Solution to Problem 1:
- Use the value of the common difference d = 3 and the first term a1 = 6 in the formula for the n th term given above
an = a1 + (n - 1 )d
= 6 + 3 (n - 1)
= 3 n + 3
- The 50 th term is found by setting n = 50 in the above formula.
a50 = 3 (50) + 3 = 153
Problem 2:
The first term of an arithmetic sequence is equal to 200 and the common difference is equal to
-10. Find the value of the 20 th term
The first term of an arithmetic sequence is equal to 200 and the common difference is equal to
-10. Find the value of the 20 th term
Solution to Problem 2:
- Use the value of the common difference d = -10 and the first term a1 = 200 in the formula for the n th term given above and then apply it to the 20 th term
a20 = 200 + (-10) (20 - 1 ) = 10
Solution to Problem 3:
Find the 10th term of the arithmetic progression 1, 3.5, 6, 8.5,...
Solution:
d = 3.5 - 1 = 6 - 3.5 = 2.5
n = 10
a is the first term
10th term = a +(n-1)d = 1 + (10-1)2.5 = 1 + 9 × 2.5 = 1 + 22.5 = 23
Solution to Problem 4:
The sum of five consecutive numbers is 100. Find the first number.
Solution:
5 consecutive numbers form an arithmetic progression with difference 1.
n = 5,
S(5) = 100,
d = 1
Let the first number be
It is unknown.
The first number is 18, and the other numbers are 18, 19, 20, 21, 22
.
5 consecutive numbers form an arithmetic progression with difference 1.
n = 5,
S(5) = 100,
d = 1
Let the first number be
It is unknown.
The first number is 18, and the other numbers are 18, 19, 20, 21, 22
.
Question 1
Write down the 8th term in the Geometric Progression 1, 3, 9, ...
Question 2
Find the sum of the following Arithmetic Progression 1,3,5,7....,199
Question 3
The sum of the fourth and twelfth term of an arithmetic progression is 20. What is the sum of the first 15 terms of the arithmetic progression?
- 300
- 120
- 150
- 170
- 270











No comments:
Post a Comment